מציג תוצאות 1 עד 14 מתוך 14

אשכול: נכון / לא נכון עוצמות

  1. #1
    משתמש רשום משתמש מתחיל

    פרטי משתמש

    ברירת מחדל נכון / לא נכון עוצמות

    זאת השאלה:




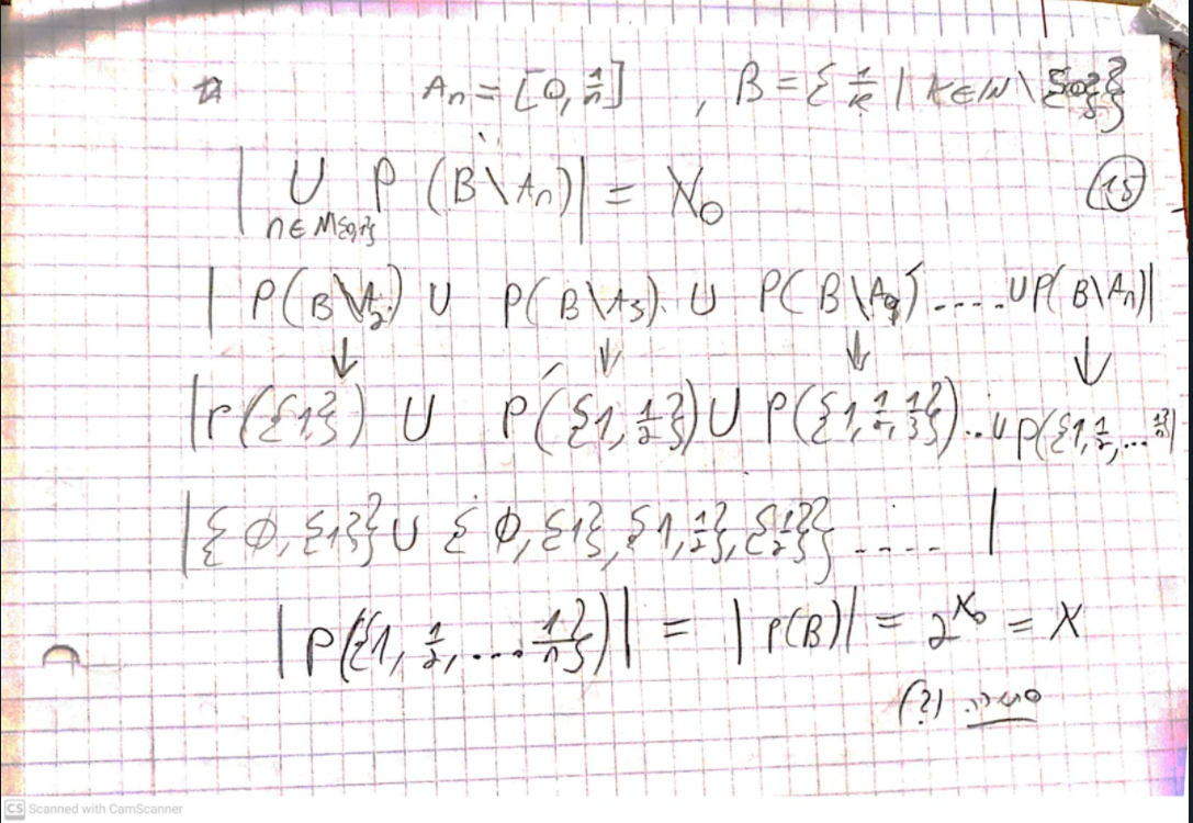
    מה אני מפספס בתהליך שאני עושה?






    ערוך הודעה
    מי אהב?0
    תגובה


  2. #2
    משתמש רשום חבר Emath בכיר

    פרטי משתמש

    ברירת מחדל

    למה החלטת שהעוצמה של B היא א0? איזה פונקציה חחע ועל יש בינה לבין הטבעיים?

  3. #3
    משתמש רשום משתמש מתחיל

    פרטי משתמש

    ברירת מחדל

    ציטוט פורסם במקור על ידי matan1212 צפה בהודעה
    למה החלטת שהעוצמה של B היא א0? איזה פונקציה חחע ועל יש בינה לבין הטבעיים?
    N^-1

  4. #4
    משתמש רשום חבר Emath בכיר

    פרטי משתמש

    ברירת מחדל

    זה בטוח לא נכון?

  5. #5
    משתמש רשום משתמש מתחיל

    פרטי משתמש

    ברירת מחדל

    ציטוט פורסם במקור על ידי matan1212 צפה בהודעה
    זה בטוח לא נכון?
    הביטוי נכון לפי התשובות

  6. #6
    משתמש רשום חבר Emath בכיר

    פרטי משתמש

    ברירת מחדל

    לפי דעתי זה איחוד בנמנייה של קבוצות לכל היותר בנות מנייה, אם תשים לב הביטוי לעולם לא יהיה על. כי בעצם אתה מחסיר את 1/n

    משהו פורמלי אני לא יודע לכתוב.
    אהבתי Mr.Alex אהב \ אהבו את התגובה
     

  7. #7
    משתמש רשום משתמש מתחיל

    פרטי משתמש

    ברירת מחדל

    ציטוט פורסם במקור על ידי matan1212 צפה בהודעה
    לפי דעתי זה איחוד בנמנייה של קבוצות לכל היותר בנות מנייה, אם תשים לב הביטוי לעולם לא יהיה על. כי בעצם אתה מחסיר את 1/n

    משהו פורמלי אני לא יודע לכתוב.
    כן אתה צודק, פשוט אני לא מוצא מקום לקרוא על איחוד בן מניה,
    יש הבדל בין החיסור לבין הקבוצה B ממה שהבנתי
    בקבוצה B זה כל המספרים הטבעיים, וההפרש הזה שיש לנו נותן לנו n איברים שאנחנו מונים והם נספרים.
    כאילו הקבוצה B כללית, ואילו קבוצת ההפרש היא ממוספרת-> איחוד בין מניה יתן לנו א0

  8. #8
    משתמש רשום חבר Emath בכיר

    פרטי משתמש

    ברירת מחדל

    ציטוט פורסם במקור על ידי Mr.Alex צפה בהודעה
    כן אתה צודק, פשוט אני לא מוצא מקום לקרוא על איחוד בן מניה,
    יש הבדל בין החיסור לבין הקבוצה B ממה שהבנתי
    בקבוצה B זה כל המספרים הטבעיים, וההפרש הזה שיש לנו נותן לנו n איברים שאנחנו מונים והם נספרים.
    כאילו הקבוצה B כללית, ואילו קבוצת ההפרש היא ממוספרת-> איחוד בין מניה יתן לנו א0
    צריך להוכיח שהיא לא על, תניח בשלילה שהיא גדולה או שווה ל-א0 ותגיע לשלילה, אם אני רוצה להיות יותר פורמלי..

    הטעות שלך היא טעות מאוד עדינה, קשה לי בכל מקרה לשים את האצבע מה פה לא נכון בדיוק.. אם מישהו יכול לעזור יותר מידי זה מבורך.

  9. #9
    הסמל האישי שלavi500 מדריך ויועץ חבר Emath מתקדם

    פרטי משתמש

    ברירת מחדל

    $B\backslash A_n$ היא קבוצה סופית לכל $n$ ולכן גם $P(B\backslash A_n)$. איחוד בן מניה של קבוצות סופיות הוא בן מניה. ראה כאן .
    לכן העוצמה $\aleph_0$
    מעיון חטוף בפורום אפשר לחשוב שמשוואה ריבועית נמצאת בקידמת המדע...
    קשה להאמין שהבבלים כבר גילו את הפיתרון לפני 3000 שנה...

  10. #10
    משתמש רשום משתמש מתחיל

    פרטי משתמש

    ברירת מחדל

    ציטוט פורסם במקור על ידי avi500 צפה בהודעה
    $B\backslash A_n$ היא קבוצה סופית לכל $n$ ולכן גם $P(B\backslash A_n)$. איחוד בן מניה של קבוצות סופיות הוא בן מניה. ראה כאן .
    לכן העוצמה $\aleph_0$
    היא לא קטנה/ שווה מא0?

  11. #11
    הסמל האישי שלavi500 מדריך ויועץ חבר Emath מתקדם

    פרטי משתמש

    ברירת מחדל

    ברור שהאיחוד אינו קבוצה סופית
    אהבתי Mr.Alex אהב \ אהבו את התגובה
     
    מעיון חטוף בפורום אפשר לחשוב שמשוואה ריבועית נמצאת בקידמת המדע...
    קשה להאמין שהבבלים כבר גילו את הפיתרון לפני 3000 שנה...

  12. #12
    משתמש רשום משתמש מתחיל

    פרטי משתמש

    ברירת מחדל

    ציטוט פורסם במקור על ידי avi500 צפה בהודעה
    ברור שהאיחוד אינו קבוצה סופית
    מה הדרך הפשוטה לא להתבלבל בתרגילים כאלו: מה קבוצה סופית ומה לא?


  13. #13
    הסמל האישי שלavi500 מדריך ויועץ חבר Emath מתקדם

    פרטי משתמש

    ברירת מחדל

    לקבוצה הראשונה יש פונקציה חד-חד ערכית שמתאימה אותה לכל הטבעיים - לכן העוצמה שלה שווה לטבעיים והיא אין סופית
    לקבוצה השניה יש פונקציה חד-חד ערכית שמתאימה אותה לקבוצה סופית של הטבעיים, לכן היא סופית והעוצהמ שלה שווה למספר האיברים בקבוצה הסופית של הטבעיים
    אהבתי Mr.Alex אהב \ אהבו את התגובה
     
    מעיון חטוף בפורום אפשר לחשוב שמשוואה ריבועית נמצאת בקידמת המדע...
    קשה להאמין שהבבלים כבר גילו את הפיתרון לפני 3000 שנה...

  14. #14
    משתמש רשום חבר Emath בכיר

    פרטי משתמש

    ברירת מחדל

    ציטוט פורסם במקור על ידי Mr.Alex צפה בהודעה
    מה הדרך הפשוטה לא להתבלבל בתרגילים כאלו: מה קבוצה סופית ומה לא?


    הכלל הוא פונקציה חחע ועל , זה לא תמיד קל, אבל זה הקושי של הקבוצות גם..
    אהבתי Mr.Alex אהב \ אהבו את התגובה
     

מידע אודות האשכול הנוכחי

Users Browsing this Thread

כרגע 1 משתמשים צופים באשכול זה. (0 חברים ו 1 אורחים )

ביקרו באשכול זה : 7

הרשאות

  • אתה לא יכול לפרסם אשכולות חדשים
  • אתה לא יכול לפרסם תגובות
  • אתה לא יכול לצרף קבצים להודעותיך
  • אתה לא יכול לערוך את הודעותיך
  •  
אודות Emath
האתר Emath הינו יוזמה פרטית והוקם בתחילת שנת 2008 .
מטרתנו הינה למנף את הישגי התלמידים למתמטיקה ופיסיקה בארץ בכלל ובפרט בקרב תלמידי התיכון .
אנו מספקים מספר שירותים לתלמיד, ביניהם גישה למאות אלפי פתרונות איכותיים לתרגילים, פורום עזרה במתמטיקה ופיסיקה הגדול מסוגו בארץ, מאגר סיכומים, מרתונים בוידאו, פתרונות לבגרויות ועוד.
כלים אלו, מאפשרים לכל אחד, ללא תלות במיקומו, ללמוד, לתרגל ולהתמקצע על-מנת להתכונן בצורה מיטבית לבגרות במתמטיקה או פיסיקה .

לכל שאלה ניתן ליצור איתנו קשר
הצטרפו אלינו